睡眠の重要性
2025-10-07 12:13:09

睡眠の規則性が健康に与える影響を科学で解明した新たな研究成果

睡眠の規則性が健康に与える影響を解明した研究の発表



2025年10月4日から5日にかけて、京都府立京都学・歴彩館で開催された第32回日本時間生物学会学術大会にて、株式会社ブレインスリープが行った大規模なデータ分析の結果が発表されました。今回は、約7,419名のユーザーから得られたデータに基づき、ソーシャルジェットラグや睡眠/覚醒リズムの規則性が、どのように睡眠指標に影響を及ぼすかが解析されました。

サマリー:規則正しい睡眠の重要性


この研究は、「ブレインスリープコイン」を用いたデータ分析により、以下のことが明らかになりました。まず、休日と平日の睡眠リズムのズレが大きい人ほど、朝の目覚めや日中の体調が悪化しやすいことです。また、日々の睡眠リズムも大切であり、不規則な生活を送る人は寝付きが遅くなる傾向にあります。

背景:睡眠リズムの乱れが健康に与える影響


近年、平日と休日の間の睡眠リズムが乱れやすく、それが睡眠の質や健康リスクに直結する可能性が報告されています。特に、ソーシャルジェットラグ、すなわち週末の時差ぼけの影響は深刻であり、これにより体内リズムが乱れることが知られています。

調査によれば、平日と休日の睡眠時間が異なるもので、約70%の人々が1時間のズレ、また約30%の人々が2時間以上のズレを感じているそうです。こうしたズレは、日中のパフォーマンスや気分に悪影響を与えることが確認されており、定期的な生活リズムの維持が重要であるとされています。

研究の方法と結果


本研究では「ブレインスリープコイン」を用い、全国のユーザーを対象に、2024年の1月から12月にかけてデータ収集を行いました。分析方法として、平日と休日の睡眠リズムのズレや日々の睡眠中央時間のズレによる比較を行いました。

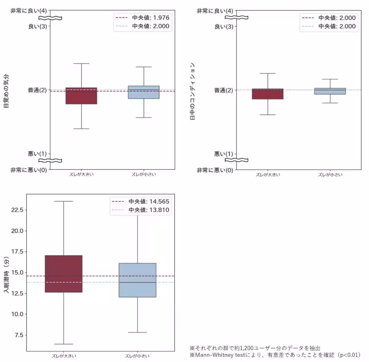
結果①:ソーシャルジェットラグの影響


研究結果から、ソーシャルジェットラグが大きい群(上位30%)の人々は、目覚めの気分スコアや日中のコンディションスコアが有意に低いことが見いだされました。これは、朝の覚醒困難や日中の疲れやすさに直結していることを示唆しています。このため、平日と休日の睡眠リズムのズレを小さく保つことが、健康維持に役立つ可能性があります。

結果②:日々の睡眠/覚醒リズムのズレ


不規則な睡眠リズムを持つ人々は、目覚めの際の気分や日中のコンディションが悪く、入眠にかかる時間も長いことが確認されました。このような生活リズムの乱れは、体内リズムの不調を招き、結果的に健康リスクを高める要因になると考えられています。

最近の研究では、睡眠時間の確保だけでなく、睡眠リズムの規則性が健康や長寿に影響を及ぼすことも示されています。

第32回日本時間生物学会学術大会の内容


今回の学会では、参加者がこのような研究成果を通じて、睡眠の重要性を再認識しました。今後も引き続き、質の高い睡眠を得るための研究や実践が求められるでしょう。

睡眠計測ツール「ブレインスリープ コイン」


最後に、ブレインスリープが提供する「ブレインスリープ コイン」は、睡眠研究に基づいて開発された独自の計測ツールです。このアプリでは、個々の睡眠状態を高精度で分析し、改善アドバイスを行なっています。また、睡眠状態に応じてコインが貯まるシステムを採用しており、貯まったコインは商品割引や音楽購入に利用できます。

ブレインスリープ公式ウェブサイト

この研究成果が、多くの人々に健康的な睡眠習慣をもたらす一助となることを期待しています。


画像1

画像2

画像3

画像4

画像5

会社情報

会社名
株式会社ブレインスリープ
住所
東京都千代田区丸の内JPタワー26階
電話番号

トピックス(ライフスタイル)

【記事の利用について】

タイトルと記事文章は、記事のあるページにリンクを張っていただければ、無料で利用できます。
※画像は、利用できませんのでご注意ください。

【リンクついて】

リンクフリーです。