青少年の健康格差
2025-09-26 11:00:36

青少年の健康行動における経済格差の新たな実態とその後の影響

青少年の健康行動における経済格差の新たな実態



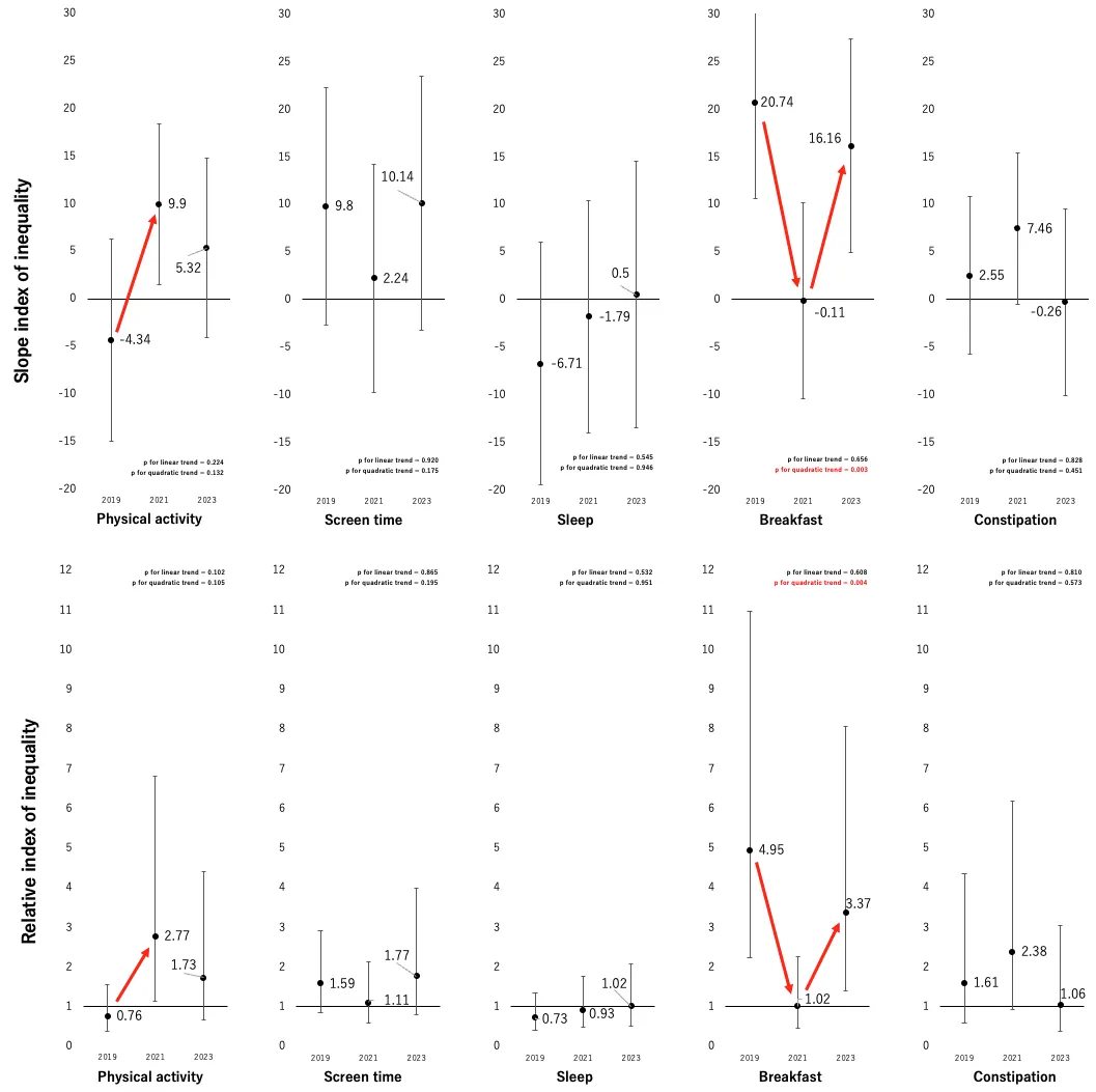
最近の研究によって、日本の青少年の健康行動における社会経済格差が明らかになりました。この調査は琉球大学と名桜大学の教授陣によって行われ、COVID-19の影響を受けた前、中、後の3つの時点でデータを収集しました。対象となったのは12歳から18歳の若者たちで、収集されたデータは、身体活動、朝食摂取、スクリーンタイム、睡眠、排便習慣といった健康行動に関するものです。

研究の背景



健康行動の格差は、特に青少年において深刻な問題とされています。日本では、社会経済の状況や居住地域の差が健康に影響を与え、多くの研究者がこの問題に注目しています。しかし、これまでの研究は未だ限られており、特に思春期の子どもたちを対象とした詳細な検証は困難でした。

本研究は、その状況を打破し、日本の青少年を対象に、COVID-19の流行前後での健康行動の変化を詳しく調査しました。特に、流行中にどのように健康行動が影響を受け、流行後にどう変わったのかという点に重きを置いています。

調査の概要



この調査は、公益財団法人笹川スポーツ財団が実施した「全国子ども・若者スポーツライフ調査」を基に実施されました。2019年には766人、2021年には725人、2023年には604人の青少年が参加し、全国225地点から無作為抽出されたデータを用いて健康行動が分析されました。

参加者には、身体活動習慣や朝食摂取、スクリーンタイムに関する質問が行われ、それぞれの健康行動が社会経済的背景でどのように分布されているのかを詳細に評価しました。

研究結果の要点



調査結果から、2019年には健康行動の顕著な格差は見られなかったものの、2021年に入ると、特に低所得層において身体活動の不足が目立つようになり、この傾向は2023年まで持続しました。また、朝食摂取に関しては、流行中に一時的に格差が解消されましたが、その後再燃するという意外な結果が示されました。スクリーンタイムについては、低所得層での長時間化が進み、経済的格差が拡大したことが確認されました。睡眠や排便の習慣には、あまり顕著な格差は観察されませんでした。

特に注目すべきは、社会経済格差が一時的に縮小するも再び拡大する「曲線的な変化」が認められたことです。これは、格差の状況が変わりやすく、政策対応が必要であることを強調しています。

今後の展望



この研究の結果は、思春期の青少年が直面する健康行動における課題を浮き彫りにしました。身体活動の不足や朝食摂取の不均衡は、学業成績や心理的健康、さらには成人後の生活習慣病リスクにも関連していることから、長期的な影響を考慮する必要があります。

今後の政策としては、特に社会経済的に厳しい環境にある家庭の子どもたちを支援するための施策が求められます。学校や地域において健康行動を促進する制度や資源へのアクセスを強化することが重要です。

この調査は、今後の健康づくりの施策として重要な基盤となるものです。具体的には、格差是正に向けた施策の実施とその効果を検証し、蓄積した知見を政策決定に活かしていくことが、青少年の健康促進に寄与することが期待されます。

まとめ



青少年の健康行動における社会経済格差は、一度縮小した後に再び拡大する可能性があることが示されました。これを踏まえた上で、継続的なモニタリングと政策的対応が必要であることを私たちは今一度認識する必要があります。青少年の未来の健康を守るために、社会全体が一致団結して取り組んでいくことが求められています。


画像1

会社情報

会社名
公立大学法人 名桜大学
住所
沖縄県名護市字為又1220-1
電話番号
0980-51-1100

関連リンク

サードペディア百科事典: COVID-19 青少年 健康格差

Wiki3: COVID-19 青少年 健康格差

トピックス(ライフスタイル)

【記事の利用について】

タイトルと記事文章は、記事のあるページにリンクを張っていただければ、無料で利用できます。
※画像は、利用できませんのでご注意ください。

【リンクついて】

リンクフリーです。