岡田クリニックの治療
2025-07-16 17:16:26

近視進行抑制治療が始まった岡田クリニックの新たな取り組み

岡田クリニックが近視進行抑制治療を開始



医療法人社団岡田クリニック(理事長:岡田芳春)は、2025年6月より新たな治療法として近視進行抑制治療を導入します。近視は多くの子どもたちに影響を及ぼす視力の問題ですが、同クリニックではその進行を抑えるための治療に力を入れています。

近視進行を抑えるリジュセアミニ



まず、リジュセアミニ(低濃度アトロピン)による治療です。この薬剤はアトロピン0.025%を含み、強膜のムスカリン受容体に作用し、眼軸長の進展を抑制することで近視の進行を抑える効果が期待されています。治療対象は主に5歳から15歳(場合により3歳から18歳も)で、点眼薬は防腐剤フリーでの長期間の使用が可能です。治療にかかる費用は3,800円(税込)で、初診検査診察料が3,000円、再診が1,000円必要です。定期的な診察は毎月から3ヶ月ごとに行う必要があります。

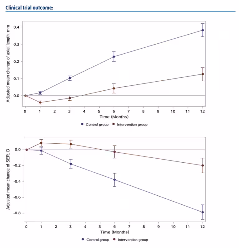
治験として行われたオレンジスタディでは、近視の進行を2年間で39%抑制することが確認されており、強い近視に進行することを防ぐ可能性が示唆されています。岡田クリニックでは、5年間の治療を行うことで約50%以上の近視抑制が期待できると言われています。副作用としてはまぶしさを感じることがありますが、大半の患者は慣れるため、隔日での投与も選択可能です。

レッドライト治療の導入



次に、岡田クリニックが提供するレッドライト治療です。この治療法は、特殊な660nmの赤色光を目に当てることで脈絡膜の厚みを増加させ、近視の進行を抑制します。近視抑制効果は実に87.7%という驚異的な数字で、多くの患者にとって効果的な治療方法となるでしょう。適用対象は3歳以上で、治療は週5回のペースで行う必要があります。

治療にあたる初診検査診察料は3,000円、機器貸与料が88,000円、再診検査診察料が2,000円というコストが必要です。クレジットカードでの分割払いも可能で、メーカーの管理費は月額8,250円です。一部の先天性の遺伝性網膜疾患は適応外となる点に注意が必要です。

治療を受ける際の注意事項



なお、レッドライト治療に関しては、最近のJAMA論文で出た報告についても注視する必要があります。論文内では網膜に微細な異常が発生するリスクが示されていますが、著名な専門家からは、技術や機器の違いによる影響が指摘されています。岡田クリニックでは、安全性を重視し、慎重に取り組んでいます。

まとめ



岡田クリニックは、近視進行抑制治療として、リジュセアミニとレッドライト治療の二つの新たな選択肢を提供しています。いずれの治療法も将来の視力に関わる重要な対策であり、子供たちの視力の健康を守るための一助となるでしょう。興味のある方は、メールまたは電話での予約をお待ちしております。

岡田クリニックの詳細情報


  • - 所在地: 〒651-0097 神戸市中央区布引町3-1-7 神戸クリニックビル8F
  • - 理事長: 岡田芳春
  • - 公式サイト: 岡田クリニック
  • - メール: yoyaku@okadaclinic.jp

近隣には30分無料のTIMES駐車場があります。


画像1

画像2

画像3

画像4

画像5

会社情報

会社名
医療法人社団 岡田クリニック 眼科・緑内障・糖尿病
住所
電話番号

トピックス(地域情報)

【記事の利用について】

タイトルと記事文章は、記事のあるページにリンクを張っていただければ、無料で利用できます。
※画像は、利用できませんのでご注意ください。

【リンクついて】

リンクフリーです。