2030年の訪日予測
2025-04-16 09:26:38

2030年訪日外国人観光客数を最大7308万人と予測!

2030年訪日外国人観光客数の予測とその意味



2023年、株式会社ENJOY JAPANが発表した訪日外国人観光客数の予測は、今後の観光施策やインフラ整備に大きな影響を与えることが期待されます。彼らの独自に開発した「訪日潜在値指数」に基づき、2030年には訪日外国人客数が最大で7308万人に達する可能性が示されました。この驚くべき数字は、日本の観光業界にとっての夢の実現とも言えますが、一方で注意が必要です。特に、インフラや宿泊施設の不足、訪日集中の問題が指摘されています。

■ 日本政府の目標との整合性


日本政府は2030年に訪日外国人を6000万人、消費額を15兆円に引き上げる目標を掲げています。現状ではすでに2024年には3686万人の訪日客数が見込まれ、消費額も8兆円を超える見込みです。この市場は今後の成長が期待される分野であり、ENJOY JAPANの調査結果はその可能性をさらに明確に示しています。

■ 調査の背景


調査は訪日外国人観光客数の過去の推移や定性調査に基づいて行われ、訪日潜在値指数により、各国からの訪日者数の未来予測をしました。特に、香港や台湾の旅行者の経験率は高いものの、2030年にかけての成長には限界があるとされています。一方で、アメリカやオーストラリアの英語圏からは、今後の成長余地が大きいと見込まれています。

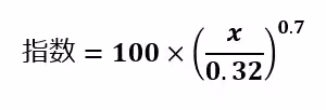
■ 訪日潜在値指数とは


訪日潜在値指数は、国別の訪日外国人観光客数の成長度合いを示す数値です。この指数は、他国の訪日経験人数や経済的な側面を考慮しており、特に一人当たりGDPなどが訪日可能性に与える影響を重視しています。例えば、香港エリアの訪日観光実績を参考にして、この地域は0.32という指数が設定されています。

■ 地域分散の必要性


訪日客数の2040年に向けた成長において、一極集中を解消し地方への分散は避けて通れない課題です。東京や大阪といった人気地域に訪日客が集中すると、空港や宿泊施設の受け入れ capacity が不足し、旅行体験の質が低下するリスクがあります。したがって、受け入れ体制の整備や観光資源の地方分散が求められています。

■ 2030年に見る観光セクターの展望


ENJOY JAPANの調査によると、観光業における人手不足や宿泊施設不足が今後の成長に深刻な影響を与える可能性があります。特に、過去に実施した調査によれば、地方への分散には長期的な取り組みが必要なことが示唆されています。日本の魅力を各地で発信し、地方自治体や民間企業が協力して行動することが急務です。

■ まとめ


2030年に向けた訪日外国人観光客の数は6,000万人を目指していますが、成長を実現するためには地方への魅力発信が不可欠です。国別の訪日潜在値指数を活用し、持続可能な観光業の実現を図ることが期待されます。今後の日本の観光業がこの展望をどのように実現していくか、注目が必要です。


画像1

画像2

画像3

画像4

画像5

会社情報

会社名
株式会社ENJOY JAPAN
住所
東京都新宿区四谷三栄町8-7ネオ寺島ビル3F(受付1F)
電話番号
03-6380-1930

関連リンク

サードペディア百科事典: 東京都 新宿区 観光 訪日外国人 ENJOY JAPAN

Wiki3: 東京都 新宿区 観光 訪日外国人 ENJOY JAPAN

トピックス(地域情報)

【記事の利用について】

タイトルと記事文章は、記事のあるページにリンクを張っていただければ、無料で利用できます。
※画像は、利用できませんのでご注意ください。

【リンクついて】

リンクフリーです。