積極的不登校の実態
2025-06-04 11:43:26

不登校経験者の約半数が「積極的不登校」を支持する理由とは

不登校経験者の新たな価値観



株式会社プレマシードは、コロナ禍における不登校の状況を調査し、興味深い結果を明らかにしました。この調査では、小中高生と大学生以上の計600名を対象に、彼らの不登校に関する意識やその背景について掘り下げました。特に注目すべきは、約半数の不登校経験者が「積極的不登校」を好意的に捉えていることです。この結果は、学校に通わないことを選択肢として捉える新たな価値観の表れかもしれません。

不登校の意識の変容



調査結果によると、「積極的不登校」について知識を持っていると答えた割合は全体で15%ですが、特に小中高生では37.5%に達しました。また、「積極的不登校」は自分の意思で学校に行かない選択をすることを指し、それを良いと思うと答えた不登校経験者は多かったのです。具体的には、小中高生では50%、大学生以上でも49.2%の人が積極的不登校を肯定的に評価しました。

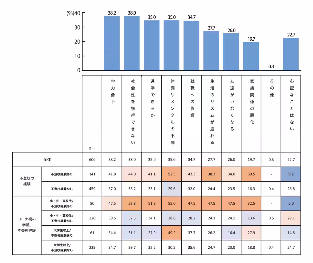
さらに、学校に通うべきかどうかの意見に関しても興味深い結果が浮かび上がりました。「無理して通うべきではない」と考える割合が全体で69%にも上ったのに対し、不登校経験者が多い小中高生ではこの意見が37.5%と、少し高めの結果が出ています。これは、彼らが学びの方法について考え直していることを示唆しています。

学びの環境の必要性



プレマシードの代表、岩田彰人氏は、不登校経験者が「学校に通うべきと思いながらも、別の理由で通えなくなり、自分の居場所や学ぶ場所を探すために積極的不登校を肯定しているのではないか」と述べています。これにより、彼らの学びたいという願望や意欲は強いことがわかります。

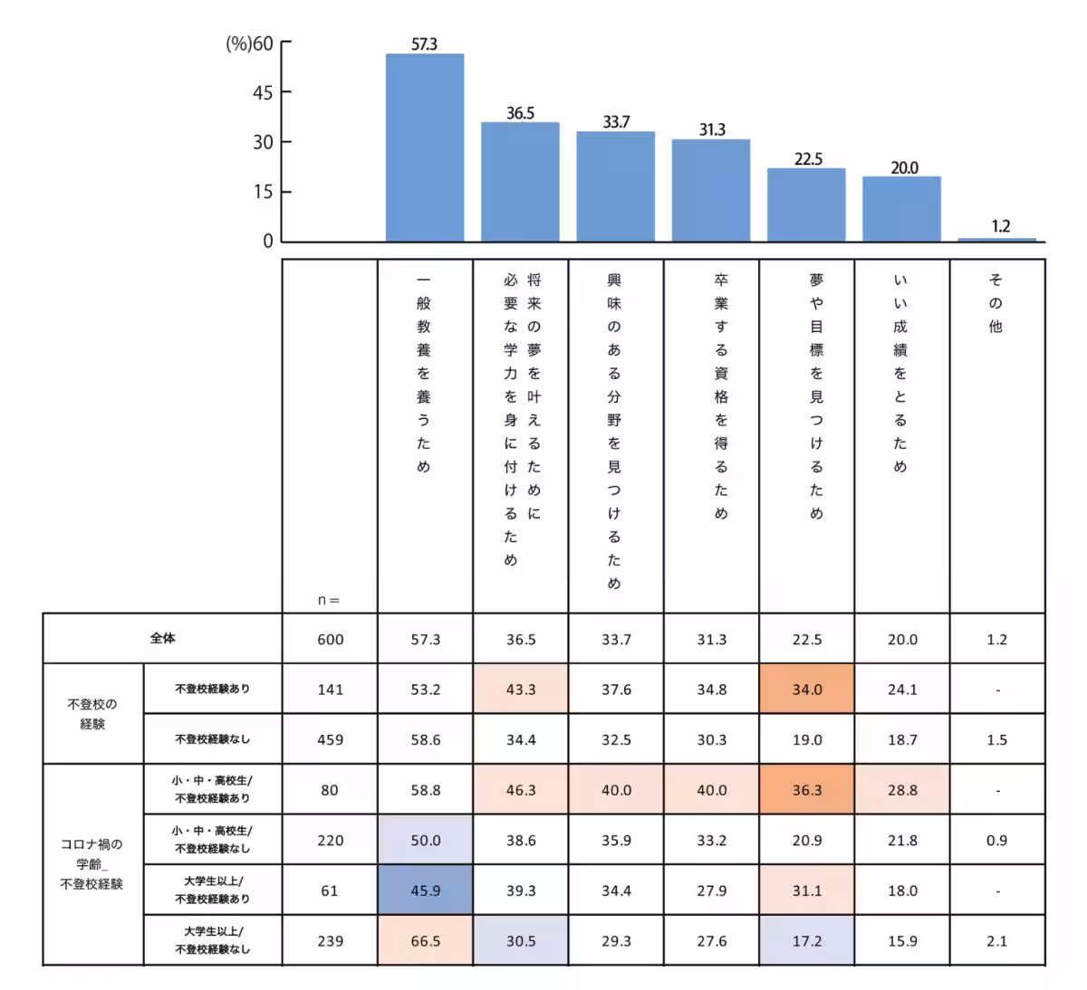
特に、中学・高校での5教科の学びが大切だと思うと感じている不登校経験者が多かったことも調査で明らかになりました。これは、彼らが自身の学びについて非常に真剣に向き合っている証拠です。

通信制高校の役割



最近、通信制高校の重要性が高まっています。調査によると、通信制高校では自分のペースで学ぶことができるため、学生たちからの支持も高く、その環境が自己成長の場になり得ることが示されています。不登校経験者は、競争のない環境や自分の興味に基づいた学びができることを求めており、通信制高校がそのニーズに応えていることがわかります。

また、調査の結果として、「居場所の確保」が不登校の学生にとっていかに重要かも浮かび上がりました。彼らは、学びを放棄することなく、自身の興味で学ぶことができる場所を求めているのです。

学びの支援体制



不登校の生徒には、新たな価値観による社会の理解と支援が求められています。プレマシードは、居場所を提供するだけでなく、学びの支援を通して将来に向かって生徒をサポートしています。今後、通信制高校がより多くの生徒を受け入れ、学びやすい環境を整備していくことが求められるでしょう。

さらに、彼らのニーズを理解し、その環境を整えることができれば、若年層が抱える不安や課題も軽減できるでしょう。現状において、社会全体が不登校を理解し支援する体制を整える必要性は一層高まっています。これにより、未来の教育環境がより良いものとなることを期待しています。


画像1

画像2

画像3

画像4

画像5

画像6

画像7

画像8

画像9

画像10

画像11

会社情報

会社名
株式会社プレマシード
住所
東京都渋谷区神宮前2丁目18-19the Folks 3B/3F
電話番号
03-6823-5895

トピックス(その他)

【記事の利用について】

タイトルと記事文章は、記事のあるページにリンクを張っていただければ、無料で利用できます。
※画像は、利用できませんのでご注意ください。

【リンクついて】

リンクフリーです。