AED使用の新研究
2026-03-30 11:30:50

新潟医療福祉大学が発表したAED使用時の衣服処理の重要性

新潟医療福祉大学がAED使用時の衣服処理に関する研究を発表



新潟医療福祉大学の救急救命学科では、AED(自動体外式除細動器)を使用する際の衣服の処理方法に関する重要な研究が行われました。この研究は、大松健太郎准教授をはじめとする研究グループによって実施され、心停止時の救命における迅速な行動の必要性が再確認される結果となりました。特に、衣服を切る方法とめくる方法の違いが、除細動の時間に与える影響についての貴重なデータが得られました。

研究の背景と目的


心停止の際、迅速な心肺蘇生と早期の除細動が生存率に大きく影響します。AEDの効果的な使用には、パッドを正確な位置に貼ることが不可欠ですが、そのためには胸部を露出させる必要があります。衣服の処理が迅速でない場合、除細動までの時間は長引き、救命の可能性を減少させる恐れがあります。この研究では、一般市民がAEDを使用する際に取るべき行動について、特に衣服処理に焦点を当てました。

研究内容


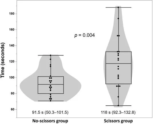
本研究では、医療従事者レベルの救命教育を受けていない大学生40名を対象に、二つの異なるグループに分かれてシミュレーションを行いました。一つのグループは衣服をハサミで切断する方法、もう一方はハサミを使わずに衣服をめくって胸部を露出する方法でAEDを使用します。その結果、AEDの電源を入れてから除細動を行うまでの時間に、顕著な違いが現れました。

具体的には、ハサミを使用した場合、中央値で118秒かかる一方で、ハサミを使わなかったグループでは91.5秒と、約24秒の差が生じたことが確認されました。これは、一般市民がAEDを使用する際に衣服処理の方法が、救命活動のスピードに直接的に影響を及ぼすことを示しています。

AEDパッドの貼付位置に関する考察


一方で、AEDパッドの貼付位置については、両グループともに有意な差はありませんでした。しかし、全体的に見てパッドの貼付の正確性は期待したほど高くなく、一般市民によるAED使用の際に配置の誤りが起きる可能性があることも示唆されました。この点については、さらなる教育方法の改善が求められます。

研究者のコメント


大松健太郎准教授は、「AED自体は音声ガイダンスに従って操作できるが、衣服を取り除く作業は非常に難しい」と述べています。一般市民が使用する際に、慣れない器具を扱うことで処置が遅れる可能性があることも指摘され、今後のAED教育における衣服処理やハサミの使い方の指導強化が必要だとされています。

研究の意義


この研究は、いかに迅速にAEDを使用するかという点での重要な指針を提供しており、一般市民の救命能力向上に寄与することを目的としています。教育機関や関連団体は、今後のAED講習において、衣服の取り扱いや除細動の準備に関する実践的な指導を強化する必要があります。

本研究に関する情報


本研究の詳細は、国際的な学術誌「Resuscitation Plus」に掲載されており、今後の救命活動において非常に重要な資料となるでしょう。研究を通して、一般市民が心停止に遭遇した際の即応力が向上することが期待されます。

* 原論文: Resuscitation Plus

新潟医療福祉大学は、医療現場で求められるチーム医療を学べる環境として、今後も重要な研究を続けていきます。


画像1

会社情報

会社名
株式会社NSGホールディングス
住所
新潟県新潟市中央区古町通2-495 
電話番号
025-364-7011

関連リンク

サードペディア百科事典: 新潟県 新潟市 新潟医療福祉大学 AED 救命

Wiki3: 新潟県 新潟市 新潟医療福祉大学 AED 救命

トピックス(地域情報)

【記事の利用について】

タイトルと記事文章は、記事のあるページにリンクを張っていただければ、無料で利用できます。
※画像は、利用できませんのでご注意ください。

【リンクついて】

リンクフリーです。