スズメガの飛行メカニズム
2026-04-28 14:38:37

スズメガの飛行メカニズム解明!安定した飛行の秘密とは

スズメガの飛行メカニズムの解明



千葉大学大学院工学研究院の研究チームが、スズメガ(Manduca sexta)の飛行における重要なメカニズムを解明しました。彼らは、翅(はね)の付け根に位置する翅ヒンジの弾性特性と自然に発生する羽ばたきの振動が、どのようにして飛行の安定性に寄与しているのかを明らかにしました。さらに、最新の流体-構造連成(FSI)モデルを使用し、昆虫が神経的な制御を最小限に抑えつつも、受動的な力学メカニズムによって堅牢な飛行をどのように実現しているのかという謎に迫ります。

研究の背景



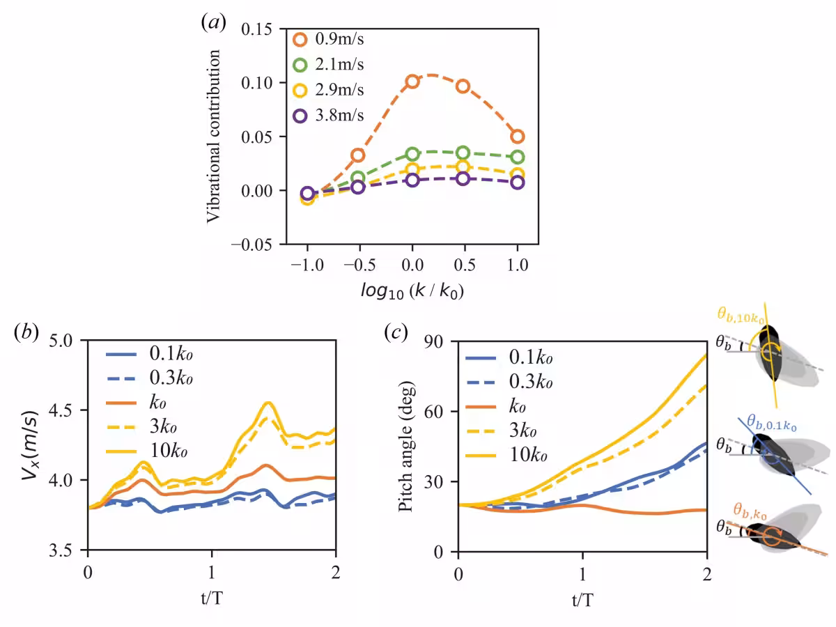
昆虫は、翅や体を用いた高速な振動によって飛行の安定性を保つ「振動安定化(Vibrational Stabilization)」という独自のメカニズムを持っています。これまでの多くの研究は、主にホバリング時の安定性に焦点を当ててきましたが、多様な前進飛行速度における柔軟な翅ヒンジの影響については未解明となっていました。それを受け、本研究チームは、弾性的な翅ヒンジと非定常な羽ばたき翼の空気力学を統合した新しい計算モデルを作成し、ホバリングから高速飛行に至るまでの受動的安定性について包括的に調査しました。

研究成果の概要



この研究の重要なポイントは以下の通りです。

1. 複合解析の実施


柔軟な翅ヒンジの動態と多様な飛行速度(0.9 m/sから5.0 m/s)を統合的に分析し、翅の振動と体の動きの同期について詳細な結果を得ました。

2. ステージ依存型の安定化戦略


飛行速度に応じて、安定化のメカニズムが変化することが判明しました。特に、低速飛行では、翅の振動によって生じる振動剛性がピッチ方向の安定性を維持します。一方、高速飛行には空気抵抗による減衰効果が大きく寄与します。

3. 生体ヒンジの最適化


スズメガの翅ヒンジの硬さが、振動安定化を最大限に引き出し、外的な影響に対する姿勢の回復を迅速に行えるよう調整されています。

今後の展望



今後、スズメガよりも羽ばたき周波数が高くサイズが小さい他の昆虫、例えばハチにおいても同様のメカニズムがどのように機能するのかを研究する必要があります。また、仮想筋肉モデルなどのAIシミュレーション技術を用いて、より複雑な環境下での最適な飛行戦略を探求することが期待されます。

まとめ



本研究は日本学術振興会(JSPS)の助成を受けており、学術的な知見をもとにした技術開発へも大いに貢献するものと期待されています。スズメガの飛行メカニズムが解明されることで、バイオミメティック(生物模倣)飛行ロボットの制御の簡素化や安定性の向上にもつながるでしょう。


画像1

会社情報

会社名
国立大学法人千葉大学
住所
千葉県千葉市稲毛区弥生町1-33 
電話番号
043-251-1111

関連リンク

サードペディア百科事典: 千葉県 スズメガ 飛行安定化 昆虫研究

Wiki3: 千葉県 スズメガ 飛行安定化 昆虫研究

トピックス(科学)

【記事の利用について】

タイトルと記事文章は、記事のあるページにリンクを張っていただければ、無料で利用できます。
※画像は、利用できませんのでご注意ください。

【リンクついて】

リンクフリーです。