認知症治療の新展開
2026-04-21 12:29:31

アルツハイマー型認知症の新たな治療法、炎症が鍵と判明

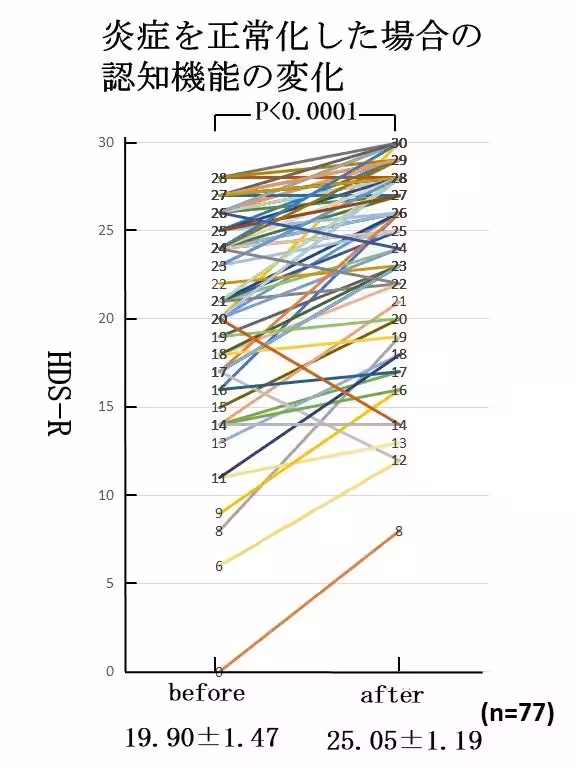
近年、アルツハイマー型認知症や軽度認知障害(MCI)の治療に革命的な進展が見られました。この進展は、鹿児島市にある霜出義輝内科クリニックの院長、霜出義輝博士によるものです。博士は、認知機能の低下が炎症と関連していることを示し、特に、脳内の慢性炎症が認知症の主な原因であるとする研究結果を発表しました。研究は、日本国内の77例の患者を対象に行われ、漢方薬を用いて炎症を正常化することにより、認知機能の改善が確認されたのです。この成果は2025年7月に「Current Traditional Medicine」という国際医学誌に掲載され、注目を集めています。

従来、アルツハイマー病はアミロイドβという物質の蓄積によって引き起こされるとされてきましたが、霜出博士の研究はそれを覆す重要なデータを提供しました。博士は、炎症を抑えることで脳の機能が改善することを世界で初めて実証したのです。具体的なアプローチとして、炎症性マクロファージを抗炎症性に転換するRO-8という治療法が提案されています。RO-8は、脳内の炎症を抑制し、認知機能の回復を促す新たな治療メカニズムを持っています。この研究成果が国際的に注目され、2026年にはアメリカのボストンで開催される国際会議「11th Neurological Disorders Summit」において、講演する機会も与えられました。

霜出博士の講演依頼は、彼の研究が世界の専門家によって高く評価されていることを示しています。この国際会議では、アルツハイマー病やパーキンソン病などさまざまな神経変性疾患に関する最新の研究が発表される予定です。多くの国から3,500名以上の専門家が参加するこのイベントで、博士の研究成果がどのように取り上げられるのか注目が集まっています。

また、RO-8は日本、アメリカ、EU、イギリスでの特許も取得しており、今後の展開が期待されています。霜出博士は、「約20年前からアルツハイマー型認知症に免疫応答が関与していると感じていた。炎症を正常化することで患者の認知機能が回復するのを目の当たりにし、この研究に至った」とコメントしています。

未来の認知症治療に対する希望が広がる中、霜出義輝内科クリニックでは、患者さんやその家族に向けた新たな治療法の普及にも尽力しているとのことです。認知症に関する新しい薬理治療が開発されることで、多くの患者が救われる日が来ることを願っています。


画像1

画像2

画像3

会社情報

会社名
霜出義輝内科クリニック
住所
電話番号

トピックス(科学)

【記事の利用について】

タイトルと記事文章は、記事のあるページにリンクを張っていただければ、無料で利用できます。
※画像は、利用できませんのでご注意ください。

【リンクついて】

リンクフリーです。